更新时间:2026-05-11 18:05:56
如若转载,请注明出处:http://www.peinnfamily.com/product/31.html
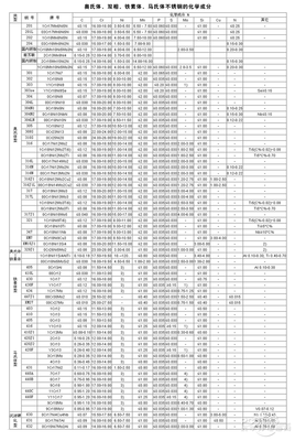
PRODUCT
产品列表
更新时间:2026-05-11 01:14:30
更新时间:2026-05-11 17:02:40
更新时间:2026-05-11 02:51:56
更新时间:2026-05-11 02:58:47
更新时间:2026-05-11 22:05:59
更新时间:2026-05-11 10:42:25
更新时间:2026-05-11 10:44:21
更新时间:2026-05-11 13:21:14
更新时间:2026-05-11 09:45:31